东升国际
解决方案
光伏储能测试解决方案
新能源汽车测试解决方案
燃料电池测试系统解决方案
电解槽测试系统解决方案
功率半导体测试解决方案
半导体封装工艺设备解决方案
产品
测试电源
直流电源/直流负载
S7200系列可编程双向直流源载系统
D2000-EV系列可编程双向直流电源
D2000-IV系列可编程双向直流电源
C3000系列可编程高性能直流电源
S7000系列可编程双向直流源载系统
E5000系列可编程直流电子负载
交流电源/交流负载
A2000系列可编程双向交流电源
G6000系列可编程双向交流源载系统
电机模拟器
M1000-MS系列电机模拟器
M2000-DM系列电机模拟器一体机
充放电测试系统
B2000-EC系列电芯充放电测试系统
D1000系列电池包充放电电源
氢能测试及智能制造装备
电解槽测试系统
E500系列电解槽单池常压测试系统
E500系列电解槽单池高压测试系统
E500系列电解槽单池多通道测试系统
HETS-PWE-S系列电解槽测试系统(PEM)
HETS-AEM-S系列电解槽测试系统(AEM)
HETS-ALK-S系列电解槽测试系统(ALK)
燃料电池测试系统
C100燃料电池单池测试系统
FCTS-S系列燃料电池电堆测试系统
FCTS-M系列燃料电池发动机测试系统
FCTS-B系列燃料电池子系统测试系统
电化学测试
DS-600系列EIS阻抗测试系统
TestWell氢能测试软件平台
TestWell测试软件
功率半导体测试与智能制造装备
性能测试系统
MX300D系列IGBT动态测试系统
MX700D SiC动态测试系统
MX700S静态测试系统
MX700KGD-600芯片动静态筛选测试系统
MX710D SiC动态测试系统
可靠性测试系统
MX300C系列功率器件热特性测试系统
MX300R系列高温反偏/栅偏测试系统
产线自动化装备
功率模块自动化测试产线方案
工艺设备
KPE-VSS-300真空焊接系统
KAS系列封装自动化装备
T9000全自动超声粗铝丝键合机
M6000多功能键合机
服务支持
技术支持
质量支持
客服支持
关于东升国际
了解东升国际
企业动态
社会责任
合作伙伴
加入东升国际
人才发展
文化氛围
招聘信息
联系东升国际
业务与合作
投资者/媒体关系
纪律监督
最新资讯
近期活动
您现在的位置:
东升国际
>
关于东升国际
>
企业动态
>
最新资讯
>
浅析电源和负载回路特性对电解水&燃料电池EIS测试结果的影响
浅析电源和负载回路特性对电解水&燃料电池EIS测试结果的影响
发布时间:2023.07.24 点击量:
电化学阻抗谱(Electrochemical Impedance Spectroscopy,简称EIS)一直以来都是氢能开发过程中的重要手段之一。
利用EIS,结合电路拟合或者弛豫时间分析,研究者可以分析电池中的极化现象,从而对相应的材料、结构或操作条件等进行对比和优化。EIS一般以有效值为5%-10%的正弦电流作为扰动,采集电池的电流以及电压信息,从而分析阻抗、相位差等信息,最后绘制成Nyquist图或者Bode图,进行进一步处理。然而,阻抗测试过程中,负载或者电源对于阻抗测试过程的影响问题却一直被研究者忽略。本文以有效面积5cm²电解水单池为测试对象,并基于实测数据,分析了其阻抗测试过程中电源回路的影响问题。因为5cm²电解水单池拉载电流在电化学工作站和功放能够直接拉载的电流范围内,并且能够研究大电密条件下的单池行为。以下是具体的分析过程。
一、实验设计
本实验装置方案如下。
为验证电源回路对于电解水EIS测试的影响问题,本实验基于东升国际 技术股份有限公司(以下简称Kewell)的E500电解单池测试系统,该系统可实现电解水常用的工况,包含水流量、氢氧流量等检测、阴阳极循环、控温、控压以及内置电源的相关拉载工况,并且具备自动工步功能,能够通过编程测试,极大降低实验者的时间占用;数据存储方面,数据支持8通道同时存储,极化曲线内置平均处理算法,单电流点输出单行数据,降低使用者后续数据处理工作量;图形方面,具备多轴、图例跟随、数据导出等功能;具备电化学工作站软件集成能力。
电解单池采用Kewell自己开发的有效面积为
5c
m²
的单池夹具。电化学工作站采用当前行业内应用场景较多的某一进口品牌,同时为了实现较大电流的扰动,匹配了相应的功率放大器。高速采集模块为一进口品牌,可实现最大1MSa/s的数据采集能力。
为验证电源回路的影响,本实验采用三套测试方案:
方案一:
电源拉载稳定电流,电化学工作站只提供扰动电流;
方案二:
电源关机并断开功率线,电化学工作站进行直流拉载+扰动;
方案三:
电源关机但是不断功率线,电化学工作站进行直流拉载+扰动。
本实验的实验装置简图如图1所示。为了测试电源回路的影响,本方案预留了1、2、3处的电流传感器接口,分别测试单池电流、电源回路电流、工作站回路电流。
图1:实验设计及装置
二、结果讨论
1. 阻抗测试结果
不同方案的Nyquist曲线如下图所示。从图中可以看出,当采用电源拉载时得到的结果,与电化学工作站本身拉载时的结果相差很大,即使是电源关机,但是只要功率线不断开,电源仍然会对测试结果产生较大的影响。不同方案中高频交点和低频交点的相关信息总结如表1所示。
图2:相同条件下不同方案测试的EIS曲线
从表1可以看出,电源会对EIS测试产生显著的影响,特别是在中高频下。对于高频阻抗,电源的连接会极大降低单池内阻的测量值,导致测试数值降低85%左右。在低频条件下,电源的影响较小。
表1:
不同
方案的相关数据
备注:
高低频偏差均以方案二为基准
本文基于DRT相关分析,进一步探究了电源回路影响。从图3可以看出,当采用电化学工作站进行拉载,且电源断开时(方案二),DRT分析能够解出较为完整的解。但是在电源回路接入时,由于电源的影响,实际上P2峰是在电源影响下的峰,其并不能代表单池的高频阻抗,反而跟单池的阳极传质极化在频率上有一定的重合。从图2也可以看出,电源回路接入之后,高频部分交点发生大幅度的偏移,这一点从DRT图中更加明显。另外,在低频条件下,电源的接入也会对单池的阻抗特性产生一定的影响,特征频率点发生偏移。
图3:
DRT分析
为了探究电源对于测试结果的影响原因,本文分别测试了图1中位置1、位置2、位置3处的电流信息,测试时所有的条件均保持一致:直流15A,扰动1.5A,流量压力也保持一致。
2. 影响原因分析
首先基于方案一,采集了位置1、2、3处的电流信息。位置1为单池的出口,也是电解单池真实的电流情况。对比位置3处的电流信息图5可以看出,电化学工作站的电流扰动是比较完美的正弦波形,并且全频率范围内,电化学工作站的电流幅值基本没什么变化,但是实际电解单池所接收到的电流扰动却持续发生变化。而且从图5可以看出,在中高频区域,单池所接收到的电流扰动明显低于低频时的电流扰动。以影响最明显的一个频率为例,右侧为该频率段的放大图。从图中可以看出,在该频率下,电解单池实际接收到的电压扰动幅值在0.35A左右,此时电化学工作站扰动有效值1.5A,幅值约为2.1A。但是其中的1.75A对电源造成扰动,这一点从位置2处电流的放大图可以看出。此外,电源的影响不仅使得电解单池实际接收到的扰动大幅度减小,还会造成单池波形紊乱,影响幅值和相位的检测。关于电源影响下阻抗检测与电化学工作站本身拉载时出现差异的原因,可能如下。
假设EIS测试过程中,预计下发一个电流幅值为
I
1
、表达式位
I
1
(t)
的交流扰动,理想情况下,这
I
1
(t)
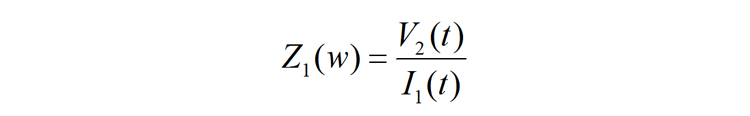
的电流扰动会全部到达电解单池,并使得单池产生电压波动。但在实际情况中,只有一部分电流扰动成功施加于电解单池的两侧,假设单池实际接收到的电流扰动为
I
2
(t)
,单池相应的电压扰动为
V
2
(t)
,则单池的实际阻抗应该为:
但是电化学工作站本身在执行阻抗测试时,在电流回路中并没有设置电流传感装置,其无法获取到达单池扰动的真实数值,而是基于其下发的电流扰动为基准,或者进行一定处理,但结果都是无法获得单池电流的真实值。
这里
假定电化学工作站计算依据为本体下发的相关电流数据,那么电化学工作站计算的阻抗为:
因此这里就十分明确,电化学工作站计算阻抗时,电压采集的是单池真实的电压,但是电流却是本体下发电流,这就造成计算阻抗时候电流幅值偏大,而且从图5可以看出来,在某些频率下,电流幅值至少放大了5倍以上,相应的电化学工作站检测的阻抗幅值会变成五分之一。
这也就解释了图2中,当用电源拉载直流时,电化学工作站测试得到的阻抗幅值总是小于电化学工作站和功放一起拉载时候的阻抗幅值,这一点从图4中也可以看出。
图4:
不同方案中的阻抗幅值和相位差
此外,电源的影响不仅仅在数值上影响阻抗的检测,从图5位置1处的电流波形可以看出,在强影响条件下,电流波形失真很严重,这会影响到单池阻抗的相位差检测,实际表现就是EIS相关曲线容易出现震荡点。
图5:
方案一,采集1、2、3处的电流
3. 大功率燃料电池中的影响
不仅电解水在测试EIS时候会受到电源的影响,大功率燃料电池电堆EIS测试时也发现相同的问题。图6所示为大功率电堆EIS测试过程中两个单频条件下的扰动电流数据和电堆电流数据。从图中可以看出,低频下,影响情况较为缓和,此时扰动电流的有效幅值约为15A,实际到达电堆的有效扰动也基本为15A左右。但是在强影响条件下,在扰动电流的有效幅值基本不变的情况下,到达电堆的有效扰动只有2A,其余的都被负载所吸收。并且,负载的影响还会导致电堆接收到的电流扰动波形发生变化,失真很严重,影响EIS的检测。
需要说明的一点是,不仅仅是阻抗检测,定频检测存在相同的问题。
当使用定频检测装置检测电堆的高频阻抗时,测试得到的结果往往偏小,甚至只有实际值的三分之一左右,其原因与上述相同。
图6:
大功率电堆EIS测试过程中的影响
三、解
决方案
EIS测试过程中阻抗影响问题的本质在于负载或者电源的恒流功能会受到EIS测试过程中扰动的影响,并且不同扰动频率下影响程度不一样。
从某一方面说,解决的根源在于电源或者负载,但是EIS测试过程中可以通过合理的结构布局,特别是相关检测位置的布局,来测试电堆的真实EIS图谱。
基于此,
kewell通过大量测试数据,通过改变接线布局,成功开发出DS-600大功率电堆阻抗检测装置,能够测试电堆的真实阻抗,其基本原理如图7所示,相关参数见表1,燃料电池和电解水测试实际数据见图8。
图7:
Kewell大功率诊断设备DS-600
表2:
DS-600相关参数
备注①:电压电流范围受扰动负载功率指标限制;②:支持扰动负载功率扩展能力。
③
f:frequency in kHz
图8:
DS-600在电解水和燃料电池大功率电堆中的实测数据